Upload
Login or register
x

Comments(312):

Leave a comment Refresh Comments Show GIFs
[ 312 comments ]
Anonymous comments allowed.
107 comments displayed.
User avatar #115 to #3 - boarderlinegreat (12/02/2015) [-]
Correct answer
User avatar #131 - retardedboss (12/02/2015) [-]
Technically it is both 1 and 9

in order for there to be an exact answer it needs to be written more explicitly.

Some places it is taught to go left to right when two operations have the same priority others it's right to left. Use more parentheses or brackets and you will be able to make an equation that has only one solution.
#284 to #131 - anon (12/03/2015) [-]
It's just 1 my friend.
#292 to #131 - RawrS (12/03/2015) [-]
It's just 1 my friend
User avatar #293 to #131 - trapposternohomo (12/03/2015) [-]
No it ****** isn't

6/2*(1+2)
6/2*3
3*3
9

BEDMAS ******
Brackets first
Then Exponents
Then Division or Multiplication, which ever comes first in the equation
Then Addition or Subtraction, which ever comes first in the equation
User avatar #138 to #131 - flnonymousseven ONLINE (12/02/2015) [-]
no it's not. order of operations clearly puts multiplication before devision. I don't understand the misunderstanding...
#141 to #138 - micekill (12/02/2015) [-]
i was taught that multiplication has the same place as division and thus must be solved from left to right
#142 to #141 - flnonymousseven ONLINE (12/02/2015) [-]
you never learned proper order of operations? "please excuse my dear aunt sally"? pemdas? it's in that order for a reason. google it.
#144 to #142 - micekill (12/02/2015) [-]
www.mathsisfun.com/operation-order-pemdas.html
"Multiply or Divide before you Add or Subtract"
User avatar #146 to #144 - flnonymousseven ONLINE (12/02/2015) [-]
"left to right"

so it is.
User avatar #184 to #142 - rulebysecrecy (12/02/2015) [-]
we learned it BEDMAS which puts division before multiplication in your case... you do it in the ORDER of when they appear when practicing ORDER of operations.
#145 to #142 - micekill (12/02/2015) [-]
emphasis on the "or"
User avatar #306 to #142 - InfraBread (12/03/2015) [-]
Answer me this...
Is: 1-1+1 the same as 1-(1+1) ???
#212 to #138 - crilleballe (12/02/2015) [-]
The orders of operations puts multiplication and division on equal level.
Any division of a number by another number is the same as the multiplication of the first number by the reciprocal number. Similarly, a number minus another is the same as the first number plus the negative of the other number. And, the n-root of any number is equal to that number to the power of the reciprocal number.
x - y = x + (-y)
x / y = x * (1 / y)
n-root( x ) = x^(1/n)
Thus, division and multiplication is in some way the same thing, like addition and subtraction, and exponents and roots are the same thing. Thus, putting one before the other really is meaningless. Parentheses are before exponents and roots, that are before multiplications and divisions, that are before additions and subtractions.
User avatar #273 to #131 - stupro ONLINE (12/03/2015) [-]
Technically, it's not. By my calculation, the answer is 9. It's 4th grade math, but I must admit I'm not 100% with that.

But what I am sure of, it's that there is only ONE ******* answer.
User avatar #59 - deltoraquest (12/02/2015) [-]
6/2(1+2) = x
.: 6/2(3) = x
.: 3(3) = x
.: 9 = x

I found the answer is 9...
now some people may say "you have to solve the brackets and simplify that first" but here's the thing: shut uppa with the shut uppa, you solve everything IN the brackets then treat the result like a regular ass number, which in this case is being multiplyed, however the divide comes first in this equation
User avatar #64 to #59 - deltoraquest (12/02/2015) [-]
my calculator says 1 but it's automatically throwing another set of brackets around 2(1+2)

so according to my calculator:

6/(2(1+2)) = 1
#236 to #64 - papakhan ONLINE (12/02/2015) [-]
correct
User avatar #66 to #65 - deltoraquest (12/02/2015) [-]
bitchin'
User avatar #67 to #66 - goodhomer ONLINE (12/02/2015) [-]
It's still and improperly formatted equation designed to be a pain in the ass.
User avatar #69 to #67 - deltoraquest (12/02/2015) [-]
it ain't too bad...

6/2(1+2) = 9
6/(2(1+2)) = 1
User avatar #70 to #69 - goodhomer ONLINE (12/02/2015) [-]
The Order of Operations is Wrong
User avatar #71 to #70 - deltoraquest (12/02/2015) [-]
I was always taught bedmas

brackets
*********
division
multiplication
addition
subtraction

here's the kicker: it's not just division before multiplication, it's just whichever shows up first in the equation
User avatar #96 to #71 - btrab ONLINE (12/02/2015) [-]
bomdas for me

brackets
operator
multiplication-
division-
addition=
subtraction=

though 'addition and subtraction' also 'multiplication and division' simply go in order of eachother
User avatar #169 to #96 - jcbiddulph ONLINE (12/02/2015) [-]
bidmas for me,
brackets
indices
multi
divi
addi
subi
User avatar #85 to #71 - sptnfouroneseven (12/02/2015) [-]
Exponents.
User avatar #72 to #71 - goodhomer ONLINE (12/02/2015) [-]
You didn't watch the video.
User avatar #73 to #72 - deltoraquest (12/02/2015) [-]
I did, I'm making conversation

I'm also gonna note it's the same with addition and subtraction

and multiplication+division always happen before addition+subtraction regardless of when they show up in the equation
User avatar #74 to #73 - goodhomer ONLINE (12/02/2015) [-]
>4 minute video
>replies in 2 minutes.

Are you SURE you watched it? Because I'm pretty sure you would know what an exponent was if you did.
User avatar #75 to #74 - deltoraquest (12/02/2015) [-]
y'know what? why you gotta be such a bitch ass homer? always sayin "oh you didn't watch the video" and proceed to provide evidence but y'know what? I think mr sherlock over 'eres gotta learn to have a sense of humour and fockin lemme tell ya when people have a sense of humour they get friends unlike ******* peanutsaurus and his *********** ****** whys he gotta be doin that right now like im trying to have a good arguement over ****** mathematics and hes all "oh anime doesn't belong in the trash" and im all 'aw **** u ya know?' and that is how you take care of guys on FJ and their pesky ass ****** talkin like sometimes you gotta suck it up and take the hits when you say the wrong things and start getting downvotes but if you dont want to make the same mistake you gotta take the red thumbs and not delete you comment otheriwse that just shows you're a coward and people like that are what make this website not so good.
#76 to #75 - goodhomer ONLINE (12/02/2015) [-]
Comment Picture
User avatar #77 to #76 - deltoraquest (12/02/2015) [-]
listen man the world isn't our oyster we have to take what we can, make the best of it and maybe we'll have a good ol happy fockin What the **** did you just ******* say about me, you little bitch? I’ll have you know I graduated top of my class in the Navy Seals, and I’ve been involved in numerous secret raids on Al-Quaeda, and I have over 300 confirmed kills. I am trained in gorilla warfare and I’m the top sniper in the entire US armed forces. You are nothing to me but just another target. I will wipe you the **** out with precision the likes of which has never been seen before on this Earth, mark my ******* words. You think you can get away with saying that **** to me over the Internet? Think again, ****** . As we speak I am contacting my secret network of spies across the USA and your IP is being traced right now so you better prepare for the storm, maggot. The storm that wipes out the pathetic little thing you call your life. You’re ******* dead, kid. I can be anywhere, anytime, and I can kill you in over seven hundred ways, and that’s just with my bare hands. Not only am I extensively trained in unarmed combat, but I have access to the entire arsenal of the United States Marine Corps and I will use it to its full extent to wipe your miserable ass off the face of the continent, you little **** . If only you could have known what unholy retribution your little “clever” comment was about to bring down upon you, maybe you would have held your ******* tongue. But you couldn’t, you didn’t, and now you’re paying the price, you goddamn idiot. I will **** fury all over you and you will drown in it. You’re ******* dead, kiddo.
User avatar #78 to #77 - goodhomer ONLINE (12/02/2015) [-]
How many macros do you have exactly?
#243 to #70 - comicironic ONLINE (12/02/2015) [-]
I hate this video
>I don't know how the order of operations works
>I'm still going to talk about it
>Instead of PEMDAS, we should just teach kids about how to solve an equation by teaching them which order the operations go in
Smartass who didn't pay attention in class when they explain PEMDAS to you.
#288 to #67 - anon (12/03/2015) [-]
NO, goodhomer is right.

The divide sign is not used in higher arthimatic, specifically because it causes difficulty in determing the correct order of operations.

If the equation was written correctly it would have had the 6 as a "fraction" of the rest of the function, allowing you to determine the correct order of operations.

(Or the function as a denominator of the 6)
#35 - camzore (12/02/2015) [-]
am i ******* retarded or something where am i going wrong

also check em mspaint skills
User avatar #231 to #35 - InfraBread (12/02/2015) [-]
When you do:

6
--------- = x
2(1+2)

you're insinuating that the equation is written as 6%(2(1+2)) = x

The equation is 6 % 2(1+2), so therefore:

6
-- (1+2) = 3(3) = 9
2

#291 to #231 - RawrS (12/03/2015) [-]
Answer me this, what math did you get to in high school?
User avatar #307 to #291 - InfraBread (12/03/2015) [-]
Let me put this in prospective for you.

6/2(1+2)
6/2(3)
3(3)
9

PROOF:

6/2(1+2)
6/2(3)
6/2 * (3)/1
18/2
9

Basic fcking math
User avatar #305 to #291 - InfraBread (12/03/2015) [-]
apparently a lot better than you, after you figure out the correct answer. Dumbass
#280 to #35 - blackjesusatheist (12/03/2015) [-]
you are correct
using pemdas the 1+2 goes first. then multiplythat by two which you will get 6/6
the answer is then factored down to 1
User avatar #219 to #35 - topperharly (12/02/2015) [-]
6/2(1+2)=???
3(1+2)=???
3(3)=9
#234 to #219 - dragonoftheshnavel ONLINE (12/02/2015) [-]
PEMDAS ************ PARENTHESIS FIRST MULTIPLY BEFORE DIVIDE
#241 to #234 - wyldek (12/02/2015) [-]
You don't multiply before you divide. It's at the same time, left to right.
User avatar #251 to #234 - drpenguinz (12/02/2015) [-]
lol why you even get upvotes?
#278 to #234 - thatginger (12/03/2015) [-]
instead of pemdas try
PE
MD
AS
letters next to eachother go at the same time, left to right
User avatar #229 to #219 - gragasvlad (12/02/2015) [-]
nito I got it right
#113 to #35 - sympathyfordevil (12/02/2015) [-]
The equation is formatted incorrectly.
Causing so that there are 2 answers.

Even if I am wrong, I'm still better at MSpaint than you
#117 to #113 - camzore (12/02/2015) [-]
makes sense now that you point it out, thanks
#155 to #113 - anon (12/02/2015) [-]
Your second equation is wrong. Parenthesis take priority. The original equation had no formatting errors.
User avatar #196 to #155 - createdjustnow ONLINE (12/02/2015) [-]
order of operations p e md as, the answer is 9, there is no reason to do 2x3 before doing 6/2, because you solve for multiplacation and division at the same time starting from the left working to the right in the equation
#269 to #196 - camzore (12/03/2015) [-]
tfw i dont even know what pedmas is
ive only ever used bodmas
is this bad
am i retarded
help
User avatar #274 to #269 - AmusableBman (12/03/2015) [-]
Nah, it's a different acronym for different areas. I learned it as BEDMAS, some learn it as PEMDAS, others as PEDMAS
User avatar #294 to #269 - createdjustnow ONLINE (12/03/2015) [-]
parenthesis, exponents, multiplication or division, addition or subtraction
#275 to #269 - blackjew (12/03/2015) [-]
All the same thing,
#161 to #155 - anon (12/02/2015) [-]
When the equation that OP posted is typed into a calculator it gives you the wrong answer.

The format is "incorrect".
User avatar #252 to #161 - drpenguinz (12/02/2015) [-]
well thats not true
User avatar #311 to #252 - drpenguinz (12/03/2015) [-]
im using a calculator everyday. its just not true. "/" is just multiplying with the inverse of the next argument, therefore the operators / and * have to behave the same way. thats how math do.
User avatar #287 to #155 - aliennova (12/03/2015) [-]
Why does this guy have 7 thumbs? He's still wrong.
6/2(1+2)
6/2(3) This is where he ****** up, he multiplied 2 and 3 first when he was supposed to divide 6 and 2
3(3)
9
User avatar #104 - bigbadplaid (12/02/2015) [-]
The problem with this is that it comes down to writing, and then also how it's computed.
On paper, it's 9, because once the bracket is solved, its a regular number, 3, which turns the equation into 6 / 2 X 3 (Following BEDMAS, we get 9).
HOWEVER, when a machine is tasked to solve this, you'll notice EVERYTHING beyond the division line is considered the denominator, which gives us 6 / 6.
It's purposely written like this to **** with you.
#107 to #104 - kanedam ONLINE (12/02/2015) [-]
if you get that result typing it into a amchine you just havent learned how to use a calculator...
User avatar #128 to #107 - gibusernamepls ONLINE (12/02/2015) [-]
He's right tho, I typed the exact equation into my calculator and it said 1.
#147 to #128 - kanedam ONLINE (12/02/2015) [-]
1 is the right answer
User avatar #150 to #147 - gibusernamepls ONLINE (12/02/2015) [-]
But if you solve the parenthesis first and then treat it like a regular number you get 9
#151 to #150 - kanedam ONLINE (12/02/2015) [-]
it depends.
technically the equation is wrong because the sign for multiplication is missing between "2" and "(1+2)"
but thats not a big problem, because it is taught that it automatically means it gets multiplicated. the little thing to consider here is: the one who wrote the equation. if you write down something like "2*1(1+3)" usually means to first multiplicate the "1" and "(1+3)" and only afterwards do the other multiplication (in this case it wouldnt matter, but in the case of the posting there is a difference)
#202 - bigmanblue (12/02/2015) [-]
you always do brackets first.
now this is kinda bad layout but it still shows 2(1+2) as a single entity, if it was (6/2) *(1+2) it would be 9, if it showed 6/2*(1+2) it would be a toss up how you wanted to do it (cos that is awfull format). but because it is 6/2(1+2) it works out as 6/(2*(1+2)) giving you 6/6=1 because as i said at the start you always do brackets firstr
(1+2) in the bracket first, followed by whatever times the bracker which here is 2 then the multiplications/division outside the bracket which here is 6/everything else
resulting as i said in 6/(2*(1+2)) =6/6=1
#207 to #205 - bigmanblue (12/02/2015) [-]
yeah both of those are wrong
#210 to #207 - anon (12/02/2015) [-]
"because I said so, I learned it back in grade school and grade school is never wrong"
#235 to #210 - bigmanblue (12/02/2015) [-]
no because im an engineer who uses maths far more complex then this for a living
you always do brackets first, the way this equation is written is equivalent to 6/(2+4)
because 2(1+2) is always done befor the 6/
User avatar #254 to #235 - Girondins (12/02/2015) [-]
Yes, you do what's inside the brackets, you don't multiply into it.
and 2(1+2) = 2*(1+2)
They key to answer this is that you multiply/divide from left to right, they same way that 6-3+3 = 6 and not 0
#255 to #254 - bigmanblue (12/02/2015) [-]
thats a different case entirely, because there are no brackets in that case its not 6 -(3+3)
its 6+(-3)+3 they are 3 seperate entities as such they dont compound.
whereas 2(1+2) is one entity, as such in the 6/2(1+2) you treat 2(1+2) as (2+4) whereas if it was (6/2)(1+2) it would be 9 because in this case the 6/2 is treated befor the 2(1+2)
0
#248 to #235 - Blasphemer has deleted their comment [-]
#200 - zionsype ONLINE (12/02/2015) [-]
#250 - zaphodcoolfrood (12/02/2015) [-]
All these god damn people fighting over this **** like it matters. There are two answers because the question is formatted to be contradicting and confusing. The argument to be made for 9 is PEMDAS and the argument for 1 is that it's 2(1+2) not 2*(1+3) which have the same result but which are not technically the same. There isn't one correct answer.
User avatar #228 - epicextreme (12/02/2015) [-]
its 4768.6 you idiots
#92 - anon (12/02/2015) [-]
9
User avatar #27 - lapsushominum ONLINE (12/02/2015) [-]
Because of the way the 2(1+2) is written my brain wants to group that to one term and then divide 6 by 6 to get 1, but that's wrong, which is really the purpose of the problem.

6/2x(3)
Read everything left to right
3x3
9
User avatar #12 - grimfuck (12/02/2015) [-]
9
#9 - Veriat (12/02/2015) [-]
I'd say it's 9. How did you guys get it to 1?
#272 to #9 - funpunk ONLINE (12/03/2015) [-]
PEMDAS, ***** . Solve the parenthesis first, then multiply 3 by 2. Then divide that by 6 to get 1.
User avatar #14 - sengo (12/02/2015) [-]
9
#22 to #14 - randombelief (12/02/2015) [-]
wrong this explains how mathway.com/
User avatar #28 to #22 - sengo (12/02/2015) [-]
Incorrect it is 9 you do multiplication/division based of the order in which they appear (After Parenthesis and Exponents of course) not multiplication first then division. I am an accounting major I would not be passing my classes if I didn't understand how to do 3rd grade math
#63 to #28 - Faded (12/02/2015) [-]
But the three would be in parentheses so you would multiply first.
User avatar #114 to #63 - sengo (12/02/2015) [-]
Nope, at that point the parentheses stop mattering and just separate it from the two, telling you that it will be multiplied at some point. The parentheses only matter for numbers inside it, the two is not inside.
#97 to #63 - anon (12/02/2015) [-]
thats not how it works
#227 - awesomedewd (12/02/2015) [-]
Oh man, this **** gives me a good laugh.
"multiplication comes before division"
Haha, yeah sure. It's like facebook in this comment section.
#10 - unfitninjuh (12/02/2015) [-]
**unfitninjuh used "*roll picture*"**
**unfitninjuh rolled image**PEMDAS dictates that it's 1
#136 to #10 - twilightdusk (12/02/2015) [-]
PEMDAS

Parenthasis / Exponents

6 / 2(1 + 2) = 6/2(3) = 6 / 2 * 3

Multiplication / Division - same level, do from left to right

6 / 2 * 3 = 3 * 3 = 9
#230 - floorsnax (12/02/2015) [-]
1 you commie swine
#32 - anon (12/02/2015) [-]
its 9
6 / 2 (1+2)

Complete brackets first
6 / 2 (3)

we treat the 3 in the brackets as a multiplication value

do the equation left to right if all that remains is multiplication/division

Leads us with:
6 / 2 = 3
3 (3) = 9
The answer is 9, also Canadian here.
User avatar #33 to #32 - muffinsmuffins (12/02/2015) [-]
forgot to login for reasons
#42 to #33 - anon (12/02/2015) [-]
>>#41,
#39 to #33 - anon (12/02/2015) [-]
it looks like the 2 is multiplied by the three thus putting it in the denominator.
User avatar #268 - redbannerman (12/03/2015) [-]
Considering I was taught P>E>M=D>A=S. Where essentially multiplication and division are equal in terms of priority except in cases where one comes before the other. In that case it's a first come, first serve basis.


In which case the answer is 9.

User avatar #276 to #268 - lordpotassium (12/03/2015) [-]
do the numbers inside the brackets first
User avatar #277 to #276 - redbannerman (12/03/2015) [-]
I think you mean parentheses, and I did...
User avatar #270 to #268 - redbannerman (12/03/2015) [-]
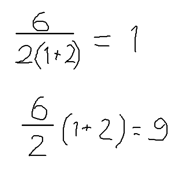
other ways this could be written for the sake of clarity would be


1.
6
--------
2(1+2)

which would equal 1


2.

6/2 x (1+2)

which would equal 9

The problem in question, if done as is should have the questioner dragged out into the street and shot, because they're a massive cunt with no respect towards proper mathematical grammar.
[ 312 comments ]
Leave a comment
 Friends (0)